1/0


Beskrivning
Två Telefunken ECC81 som testar ok. Värt att notera att nos/starka ecc81:or ofta ligger runt 9 i LA på min avo (10 enligt tabellen) så ha det i åtanke när ni kollar på testresultaten.
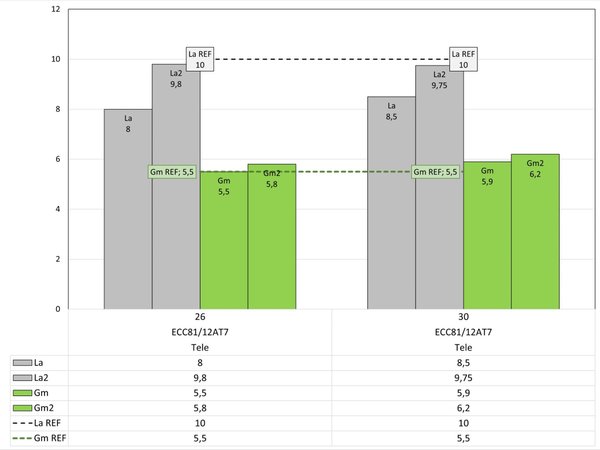
Testresultat ser du på bild 2. Linjerna märkta REF hänvisar till AVO tabellen.
La = Anodström i milliampere (mA) – hur mycket ström röret drar vid test.
Gm = Transkonduktans, hur mycket anodströmmen (la) ändras när styrgallerspänningen ändras – alltså hur bra röret förstärker en signal.
Rören är testade på AVO MK3. Alla standardtest som läckage, gas osv. är gjorda. Jag testar efter bästa förmåga och det är gamla grejer som skickas. En viss differens är alltid att förvänta sig, men om du som köpare är missnöjd efter egna tester så hör av dig. Vi hittar en lösning så att alla blir nöjda. Observera att jag enbart testat på rörtestare, eventuella problem som kan visa sig i förstärkare och så vidare kan jag inte garantera.
Betalning ska ske inom tre dagar efter vunnen auktion om vi inte har kommit överens om någonting annat innan auktionen går ut. Jag packar noga och skickar inom tre dagar efter betalning, oftast dagen därpå.
Tveka inte att skriva en rad om du undrar över någonting!
--------------------------------------
You can see the test results in picture 2. The lines marked REF refer to the AVO table.
The tubes are tested on AVO MK3. All standard tests such as leakage, gas, etc. are done. I test to the best of my ability and it is old stuff that is sent. A certain difference is always to be expected, but if you as a buyer are dissatisfied after your own tests, please contact us. We will find a solution so that everyone is satisfied. Please note that I have only tested on tube testers, any problems that may appear in amplifiers and so on I cannot guarantee.
Payment must be made within three days of winning the auction unless we have agreed on something else before the auction ends. I pack carefully and ship within three days of payment, usually the next day.
Don't hesitate to write a line if you have any questions!
Testresultat ser du på bild 2. Linjerna märkta REF hänvisar till AVO tabellen.
La = Anodström i milliampere (mA) – hur mycket ström röret drar vid test.
Gm = Transkonduktans, hur mycket anodströmmen (la) ändras när styrgallerspänningen ändras – alltså hur bra röret förstärker en signal.
Rören är testade på AVO MK3. Alla standardtest som läckage, gas osv. är gjorda. Jag testar efter bästa förmåga och det är gamla grejer som skickas. En viss differens är alltid att förvänta sig, men om du som köpare är missnöjd efter egna tester så hör av dig. Vi hittar en lösning så att alla blir nöjda. Observera att jag enbart testat på rörtestare, eventuella problem som kan visa sig i förstärkare och så vidare kan jag inte garantera.
Betalning ska ske inom tre dagar efter vunnen auktion om vi inte har kommit överens om någonting annat innan auktionen går ut. Jag packar noga och skickar inom tre dagar efter betalning, oftast dagen därpå.
Tveka inte att skriva en rad om du undrar över någonting!
--------------------------------------
You can see the test results in picture 2. The lines marked REF refer to the AVO table.
The tubes are tested on AVO MK3. All standard tests such as leakage, gas, etc. are done. I test to the best of my ability and it is old stuff that is sent. A certain difference is always to be expected, but if you as a buyer are dissatisfied after your own tests, please contact us. We will find a solution so that everyone is satisfied. Please note that I have only tested on tube testers, any problems that may appear in amplifiers and so on I cannot guarantee.
Payment must be made within three days of winning the auction unless we have agreed on something else before the auction ends. I pack carefully and ship within three days of payment, usually the next day.
Don't hesitate to write a line if you have any questions!
Par Telefunken ECC81 radiorör, elektronrör.
Slutar 9 nov 19:19
Ledande bud
∙
104 kr
111 kr med köparskydd.
















